
4,4'-二氨基二苯砜
80-08-0
4,4'-二氨基二苯砜
分子式:C12H12N2O2S
分子量:248.3
MDL號:MFCD00007887
EINECS號:201-248-4
RTECS號:BY8925000
物理性質:
1.性狀:白色或淺黃色結晶性粉末。無臭。味微苦。
2、密度(g/mL,20℃):1.33
3、熔點(℃):170~180
4、溶解性:微溶于水,可溶于醇、氯仿、乙腈及其他非質子系極性有機溶劑,還溶于稀無機酸化學性質:
在空氣中穩定,無臭,味微苦,中等毒性。操作人員應穿戴防護用具,防止接觸眼睛,皮膚及衣物,防止誤食及吸入。
儲存方法:
本品應密封避光保存。應儲存在陰涼,干燥的地方。在不使用時保持密封。
制備路徑:
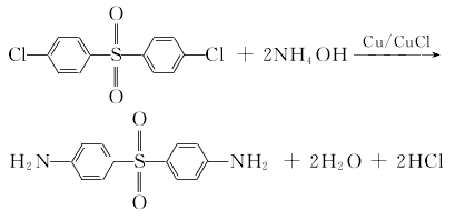
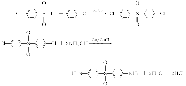
將4,4'-二氯二苯砜、酮粉,氯化亞酮及氨水加入高壓釜,攪拌下加熱,于170~202℃及3MPa壓力下,反應14h,然后降溫至60℃,經過濾、水洗、干燥得粗產品4,4'-二氨基二苯砜。根據產品的用途,對粗產品進行精制。例如可將粗產品溶解于10%的鹽酸中,加活性炭脫色,過濾,冷卻至10℃以下,用碳酸鈉溶液調節pH值至2~2.5,離心過濾,再水洗至中性,經干燥即得成品。收率78%以上。

(1)以對硝基氯苯、對氨基苯磺酸為原料

(3)以對氯苯磺酰氯和氯苯為原料
主要用途:
環氧樹脂固化劑。氣相色譜固定液(最高使用溫度180℃,溶劑為丙酮)。分離分析酚類化合物。
本品用作環氧樹脂的固化劑,反應性低,使用壽命長(約1年)。適用于澆鑄品、層壓品和黏合劑等。一般用量30~35份。固化條件:110~200℃/2~4h。固化物具有優良的熱穩定性和突出的化學穩定性,熱變形溫度很高(170~180℃)。由于本品與樹脂的混合物黏度很高,故用于澆鑄制品時一般是在100℃以上進行。
本品作為抗麻風藥是國家基本藥物之一。具有磺胺藥的抗菌譜,突出優點為對麻風桿菌有抑制作用,適用于各種麻風病,療效好,服用方便,可為首選藥。但毒性較大,與其他類型抗麻風病藥合用可減少劑量,減低毒性和延遲耐藥性的產生。




