您的位置:首頁 > 產品中心 > 201×4(711)強堿性苯乙烯系陰離子交換樹脂

產品中心
201×4(711)強堿性苯乙烯系陰離子交換樹脂
一、執行標準
HG/T2163-1991 DL/T519-2004
201×4是在交聯為4%的苯乙烯-二乙烯苯共聚體上帶有季銨基[-N(CH3)3OH]的陰離子交換樹脂,其堿性相當于一般季胺堿,在酸性、中性甚至堿性介質中顯示離子交換功能。產品具有機械強度好、耐熱性高等特點。
本產品相當于美國:Amberlite IRA402/420;Dowex SBR-P;PuroliteA400
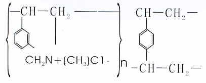
二、結構式
三、理化性能指標
| 項 目 | 產品規格 |
| 樹脂結構 | 苯乙烯-二乙烯苯 |
| 外觀 | 淡黃色至金黃色球狀顆粒 |
| 功能基團 | –N+(CH3)3 |
| 質量全交換容量(干)(mmol/g) | ≥3.80 |
| 體積全交換容量(濕)(mmol/ml) | ≥1.10 |
| 粒度(0.315-1.25)mm | ≥95% |
| 含水量(%) | 50.0-60.0 |
| 濕真密度(g/ml) | 1.060-1.100 |
| 濕視密度(g/ml) | 0.66-0.71 |
| 強度(磨后圓球率) | ≥90% |
| 轉型膨脹率(%) | CL→OH |
| 25-30 | |
| 出廠形式 | CL |
四、使用時參考指標
| 項 目 | 參考值 | |
| PH使用范圍 | 1-14 | |
| 最高使用溫度℃ | OH- | 40 |
| CL- | 100 | |
| 運行流速m/h | 15-30 | |
| 再生液濃度 | HCl:3-5%; NaOH:3-5% | |
五、用途
主要用于純水、高純水制備,糖液脫色、廢水處理、生化制品和放射性元素的提取。




