專業詞條——滲透劑SF
別 名 : JFC-SF 低泡滲透劑英文名 : Penetrating agent SF化學成分 : 脂肪醇聚氧乙烯聚氧丙烯醚結構式 : RO(C3H6O)A(C2H4O)BH R=C8-14烷基CAS號 : 68238-81-3性 能 : 本品易溶于水及一般有機溶劑,具有良好的滲透、乳化和凈洗性能,且泡沫低,易于洗去各種油污且手感柔軟。本品在0℃不凍,其水溶液不成粘膏,可任意比例加水復配。應 用 : 本品適用于配制各種纖維織物的前處理劑,有利于油劑的
2016.12.20
專業詞條——安賽蜜
化學名 : 乙酰磺胺酸鉀別 名 : 安賽蜜鉀 安賽蜜-K A-K糖 乙酰舒泛鉀 阿爾適爾芳鉀英文名 : Acesulfame Potassium分子式 : C4H4KNO4S分子量 : 201.24CAS 號 : 55589-62-3 33665-90-6性 質 : 無色或白色、無臭,有強烈甜味的結晶性粉末。易溶于水,微溶于乙醇。安賽蜜是一種食品添加劑,沒有營養、口感好、無熱量、具有在人體內不代謝、不吸收、對熱和酸穩定性好等特點。甜度約為蔗糖的200倍。應
2016.12.20
專業詞條——椰油酰基甘氨酸鉀
別 名 : 椰油酰甘氨酸鉀 椰子油脂肪酸甘氨酸鉀英文名 : Potassium Cocoyl Glycinate簡 稱 : GCK CGKCAS 號 : 301341-58-2性 能 : 具有良好的清潔能力,泡沫豐富平滑而富有彈力;非常高的安全性和極低的刺激性,使用時感覺滑爽,不緊繃;在中性到堿性的條件下都具有良好的起泡性能;與脂肪酸鹽具有良好的相容性,可改善脂肪酸鹽體系的泡沫質量以及洗后的緊繃感;本品以天然素材為原料,具有良好的生物降解性。應 用 : 廣
2016.12.20
功能材料——有機光電材料
一、簡述 光功能材料是指在外場(如光、電、磁、熱等)作用下,利用材料本身光學性質發生變化的原理,實現對入射光信號的探測、調制及能量或頻率轉換作用的光學材料。光功能材料是以光為驅動力的功能材料體系。在初始階段,人們稱之為光響應性材料(Photoresponse materials)。近年來出現的在信息科學和IT工業中有著巨大意義的學科—光信息材料科學就是在此基礎上發展起來的。 有機光電材料是指具有光電轉換功能、光電活性的有機材料。廣泛應用于有機發光二極管、
2016.12.19
多用途合成試劑——三氟甲基化試劑
隨著有機氟化學的發展,由于含氟化合物具有的特殊性質,使其在生物化學、農藥、功能材料等領域具有很重要的應用價值。在這些含氟化合物中,三氟甲基化產物占有很大比例。將三氟甲基基團將其引入到有機化合物中能使目標產物的極性、偶極距、穩定性和親脂性得到提高。因此含三氟甲基的化合物在醫藥、農藥、染料和新型功能材料等領域的應用愈加廣泛,且三氟甲基化反應是制備包括三氟甲基化合物等含氟化合物的重要方法。 三氟甲基化反應的發展 Moissna在1886年制得含氟化合物奠定了氟
2016.12.14
DL-二硫蘇糖醇的性質與用途介紹

中文名:DL-二硫蘇糖醇結構式:英文名:DL-Dithiothreitol別 名:Cleland's ReagentDL-2,3-Dihydroxy-1,4-butanedithiolDL-1,4-Dimercapto-2,3-butanediolDL-DTTDTT二硫代蘇糖醇DL-1,4-二硫蘇糖醇分子式:C4H10O2S2 性質: DTT是一種強還原劑,有抗氧化作用。為白色粉末,熔點42~44℃,沸點125~130℃(0.27kPa),37℃,
2016.12.13
蛋白胨與胰蛋白胨的關系
蛋白胨是是將肉、酪素或明膠用酸或蛋白酶水解后干燥而成的外觀呈淡黃色的粉劑,具有肉香的特殊氣息,是所有蛋白胨的總稱。它作為微生物培養基的主要原料,在抗生素(antibiotic),醫藥工業,發酵工業,生化制品及微生物學科研等領域中的用量均很大;不同的生物體需要特定的氨基酸和多肽,因此存在各種蛋白胨,一般來說,用于蛋白胨生產的蛋白包括動物蛋白(酪蛋白、肉類)和植物蛋白(豆類)兩種。蛋白質經酸、堿或蛋白酶分解后也可形成蛋白胨。蛋白胨富含有機氮化合物,也含有一些
2016.12.08
什么是Good's緩沖液
一、Good's 緩沖液特點 Good's 緩沖液又稱為兩性離子緩沖液。1960年,N.E.Good和他的同事們總結了現有的各種緩沖試劑的優缺點后認為,必須用人為設計和人工合成的方法來找到專門用于生命科學研究的特定的緩沖體系,這些緩沖體系應具有以下特性: 1、pKa值在6-8之間; 2、在水中的溶解度高; 3、不易穿透生物膜; 4、鹽效應小; 5、離子濃度、溶液組成和溫度對解離的影響小; 6、不與金屬離子生成復合物或沉淀; 7、該緩沖劑
2016.12.05
噻吩衍生物在醫藥領域的應用與制備

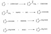
噻吩是一種無色、有惡臭、能催淚的液體,天然存在于石油中,含量可高達數個百分點,主要用于醫藥合成以及染料、樹脂、農藥和香料的合成等方面。目前國內噻吩的需求主要集中在醫藥中間體的生產上,本文將對主要的噻吩類衍生物在醫藥領域的應用進行介紹。 一、用于合成頭孢類廣譜抗菌類藥物 2-噻吩乙酸和2-噻吩乙酰氯是重要的有機中間體,廣泛應用于醫藥和農藥的生產,例如合成廣譜抗菌藥頭孢噻吩、頭孢噻啶和頭孢西丁等。 2-噻吩乙酸主要有兩種生產工藝:乙酰噻吩酸化法和噻吩醋酐乙酰
2016.12.02
2-氨基噻唑的合成工藝

前言 在許多天然化合物中都含有噻唑環,而其中一種較簡單易得的2-氨基噻唑,是一個很有用的醫藥、染料、化工原料。噻唑環是一類重要的結構單元,含有噻唑環結構的氨基噻唑化合物在抗菌、消炎、抗過敏、降血壓,治療精神分裂癥等方面應用廣泛,近年來在某些多巴胺受體激動劑、血管緊張素受體拮抗劑等藥物分子中也含有氨基噻唑環。由于氨基噻唑衍生物具有一定的生物活性,一直受到藥物化學家的關注。 2-氨基噻唑的合成 1、乙烯基乙酸酯和硫脲為原料合成 以乙烯基乙酸酯和硫脲為原料,合
2016.12.02





